3  Join Fish and Env. Data

Purpose: join redd count and environmental covariate data and explore correlations between key environmental variables.

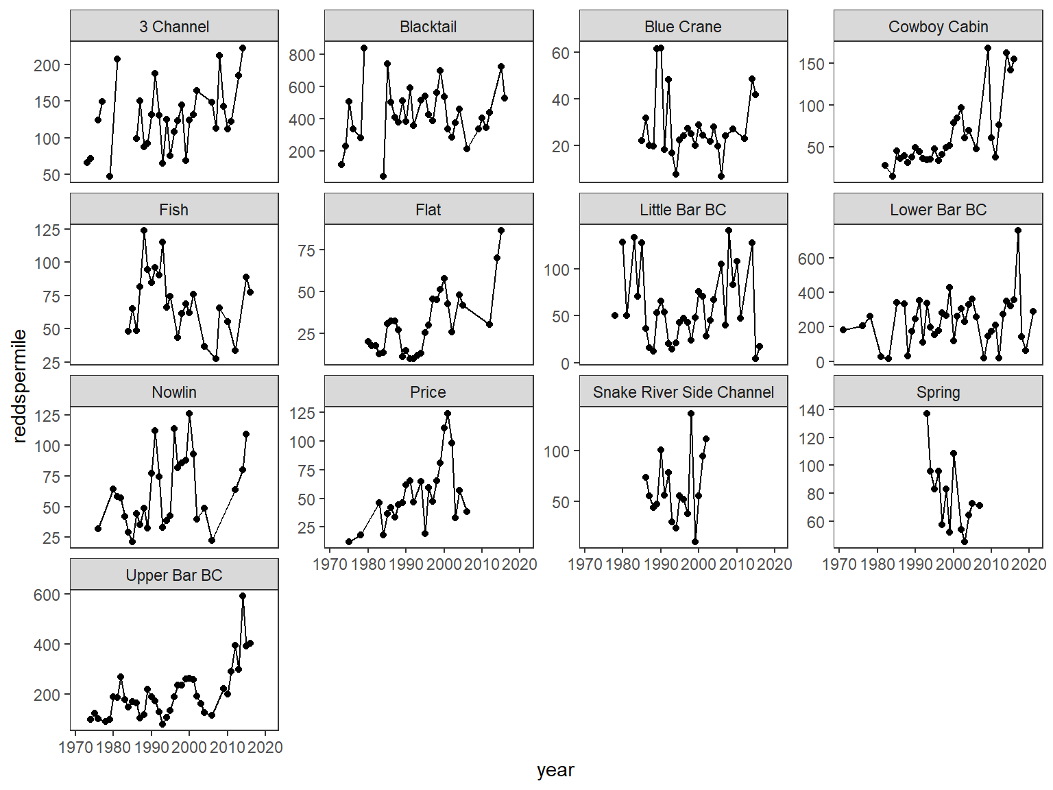
3.1 Redd Count Data

Load YCT redd count data and plot time series

Code
redds <- read_csv("Data/ReddCounts_WGFD_1971-2021_cleaned.csv") %>% 
  filter(!stream %in% c("Cody", "Christiansen", "Dave", "Laker")) # drop Cody (too few data points) and Salt River tribs
redds %>% ggplot() + geom_point(aes(x = year, y = reddspermile)) + geom_line(aes(x = year, y = reddspermile)) + facet_wrap(~ stream, scales = "free_y") + theme_bw() + theme(panel.grid = element_blank())

Map sites:

Code
reddlocs <- redds %>% group_by(stream) %>% summarize(lat = unique(lat), long = unique(long)) # summarize location data
reddlocs$stream_short <- c("THCH", "BLKT", "BLCR", "COCA", "FISH", "FLAT", "LTBC", "LOBC", "NOWL", "PRCE", "SRSC", "SPRG", "UPBC")
reddlocs_sp <- st_as_sf(reddlocs, coords = c("long", "lat"), crs = "+proj=longlat +datum=WGS84 +no_defs +ellps=WGS84")
#st_write(reddlocs_sp, "Figures/Map/map_data/ReddCounts_SpatialLocations.shp", append = FALSE)
mapview(reddlocs_sp) # map

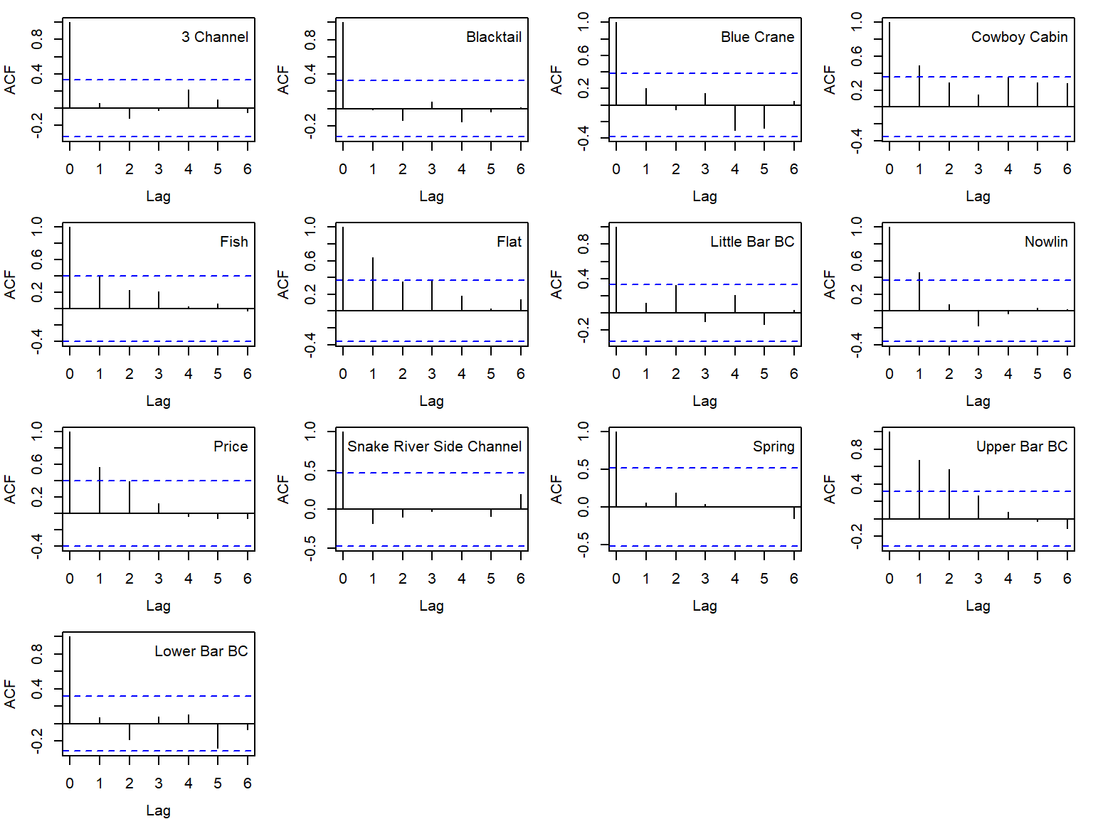
Explore autocorrelation, which may be due to stock-recruit dynamics, autocorrelated environmental drivers, or both

Code
sites <- unique(redds$stream)
par(mfrow = c(4,4), mgp = c(2.5,1,0), mar = c(3.5,3.5,1,1))
for (i in 1:length(sites)) {
  d <- filter(redds, stream == sites[i])
  acf(d$reddsperkm, lag.max = 6, plot = TRUE, na.action = na.pass)
  legend("topright", legend = sites[i], bty = "n")
}

For each site, add years in which data was not collected, then calculate lagged redds

Code
lagg <- 4
rlist <- list()
sites <- unique(redds$stream)
for (i in 1:length(sites)) {
  d <- filter(redds, stream == sites[i])
  df1 <- tibble(year = seq(from = min(d$year, na.rm = TRUE), to = max(d$year, na.rm = T), by = 1))
  rlist[[i]] <- df1 %>% left_join(d) %>% mutate(stream = sites[i], 
                                                miles = unique(d$miles), 
                                                kms = unique(d$kms), 
                                                lat = unique(d$lat), 
                                                long = unique(d$long),
                                                reddsperkm_lag4 = lag(reddsperkm, n = lagg))
}
redds2 <- bind_rows(rlist)

Explore the effect of spawners on productivity to motivate use of Ricker model, sensu Jones et al. (2020).

Code
# recruits ~ spawners, combined
# redds2 %>% ggplot(aes(x = reddsperkm_lag4, y = reddsperkm)) +
#   geom_point(aes(colour = stream)) +
#   geom_smooth(method = "loess")
# recruits ~ spawners, by stream
# redds2 %>% ggplot(aes(x = reddsperkm_lag4, y = reddsperkm)) + 
#   geom_point(aes(colour = year)) + 
#   geom_smooth() +
#   facet_wrap(~stream, scales = "free")
# # productivity ~ time, by stream
# redds2 %>% ggplot(aes(x = year, y = log(reddsperkm/reddsperkm_lag4))) + 
#   geom_point(aes(colour = year)) + 
#   geom_smooth() +
#   facet_wrap(~stream, scales = "free_y")
# productivity ~ spawning stock, combined
# redds2 %>% ggplot(aes(x = reddsperkm_lag4, y = log(reddsperkm/reddsperkm_lag4))) + 
#   geom_smooth(method = "lm") +
#   geom_point(aes(colour = stream))
# productivity ~ spawning stock, by stream
redds2 %>% ggplot(aes(x = reddsperkm_lag4, y = log(reddsperkm/reddsperkm_lag4), colour = year)) + 
  geom_smooth(method = "lm") +
  geom_point(aes(colour = year)) + 
  facet_wrap(~stream, scales = "free")

Get range of years by site

Code
redds2 %>% group_by(stream) %>% summarize(start = min(year, na.rm = TRUE), stop = max(year, na.rm = TRUE))
# A tibble: 13 × 3
   stream                   start  stop
   <chr>                    <dbl> <dbl>
 1 3 Channel                 1973  2014
 2 Blacktail                 1973  2016
 3 Blue Crane                1985  2015
 4 Cowboy Cabin              1980  2016
 5 Fish                      1984  2016
 6 Flat                      1976  2015
 7 Little Bar BC             1978  2016
 8 Lower Bar BC              1971  2021
 9 Nowlin                    1976  2015
10 Price                     1975  2006
11 Snake River Side Channel  1986  2002
12 Spring                    1988  2007
13 Upper Bar BC              1974  2016
Code
minby <- min(redds2$year) - 4 # minimum brood year

3.2 Covariate Data

Per Murdoch et al (2023) CJFAS, only include variables for which Pearson’s r is < 0.6.

Notes: * drop jld_winmean and natq_winmean from same model (pearson r = 0.639 since 1960, 0.79 since 1989)

Load derived data files

Code
jldramp <- read_csv("Data/Derived/JLD_RampDown_Summary_CalendarYear_1960-2022.csv") #%>% mutate(broodyr = year) %>% select(-year)
jldflow <- read_csv("Data/Derived/JLD_ManagedFlow_Covariates_BroodYear_1960-2022.csv")
natflow <- read_csv("Data/Derived/SnakeTribs_NaturalFlow_Covariates_BroodYear_1960-2022.csv") %>% rename(flowstn = site) #%>% filter(site %in% c("SnakeBeFlat", "Salt")) 
airtemp <- read_csv("Data/Derived/AirTemperature_Covariates_BroodYear_1960-2022.csv") %>% filter(site %in% c("moose", "afton")) %>% rename(tempstn = site) 

unique(natflow$flowstn)
[1] "Buffalo"     "Fish"        "Flat"        "Greys"       "GrosVentre" 
[6] "Salt"        "SnakeBeFlat" "SnakeMoran"  "SnakeNat"   

3.2.1 Check correlation

Use pairs plots to check correlation among key variables, within datasets:

Code
ggpairs(jldramp %>% select(jld_rampdur, jld_rampratemindoy, jld_rampratemin_log), progress = FALSE ) # entire time series

Code
ggpairs(jldramp %>% filter(broodyr >= 1989) %>% select(jld_rampdur, jld_rampratemindoy, jld_rampratemin_log) , progress = FALSE) # post-1989

Code
ggpairs(jldflow %>% select(jld_winmean, jld_winmin, jld_winvar, jld_summean, jld_peakmag, jld_peaktime), progress = FALSE)

Code
ggpairs(jldflow %>% filter(broodyr >= 1989) %>% select(jld_winmean, jld_winvar, jld_summean, jld_peakmag, jld_peaktime), progress = FALSE)

Code
ggpairs(natflow %>% filter(flowstn == "SnakeNat") %>% select(natq_annmin, natq_winmean, natq_winvar, natq_peakmag, natq_peaktime), progress = FALSE)

Code
ggpairs(natflow %>% filter(broodyr >= 1989, flowstn == "SnakeNat") %>% select(natq_winmean, natq_winvar, natq_peakmag, natq_peaktime), progress = FALSE)

Code
ggpairs(natflow %>% filter(flowstn == "SnakeBeFlat") %>% select(natq_winmean, natq_winvar, natq_peakmag, natq_peaktime), progress = FALSE)

Code
ggpairs(natflow %>% filter(broodyr >= 1989, flowstn == "SnakeBeFlat") %>% select(natq_winmean, natq_winvar, natq_peakmag, natq_peaktime), progress = FALSE)

Code
ggpairs(airtemp %>% filter(tempstn == "moose") %>% select(temp_falmean, temp_winmean, temp_sprmean, temp_summean), progress = FALSE)

Code
ggpairs(airtemp %>% filter(broodyr >= 1989, tempstn == "moose") %>% select(temp_falmean, temp_winmean, temp_sprmean, temp_summean), progress = FALSE)

Check correlation among variables across datasets:

Code
p <- jldramp %>% select(broodyr, jld_rampdur, jld_rampratemindoy, jld_rampratemin_log) %>%
          left_join(jldflow %>% select(broodyr, jld_winmin, jld_summean, jld_peakmag, jld_peaktime)) %>%
          left_join(natflow %>% filter(flowstn == "SnakeNat") %>% select(broodyr, natq_peakmag, natq_peaktime)) %>%
          #left_join(natflow %>% filter(flowstn == "SnakeBeFlat") %>% select(broodyr, natq_winmean)) %>%
          left_join(airtemp %>% filter(tempstn == "moose") %>% select(broodyr, temp_falmean, temp_winmean, temp_sprmean, temp_summean))
range(cor(p, use = "pairwise.complete.obs")[upper.tri(cor(p, use = "pairwise.complete.obs"))])
[1] -0.5061091  0.5862950
Code
ggpairs(p, progress = FALSE)

Post 1989

Code
p <- jldramp %>% filter(broodyr >= 1989) %>% select(broodyr, jld_rampdur, jld_rampratemindoy, jld_rampratemin_log) %>%
          left_join(jldflow %>% filter(broodyr >= 1989) %>% select(broodyr, jld_winmin, jld_summean, jld_peakmag, jld_peaktime)) %>%
          left_join(natflow %>% filter(broodyr >= 1989) %>% filter(flowstn == "SnakeNat") %>% select(broodyr, natq_peakmag, natq_peaktime)) %>%
          #left_join(natflow %>% filter(broodyr >= 1989) %>% filter(flowstn == "SnakeBeFlat") %>% select(broodyr, natq_winmean)) %>%
          left_join(airtemp %>% filter(broodyr >= 1989) %>% filter(tempstn == "moose") %>% select(broodyr, temp_falmean, temp_winmean, temp_sprmean, temp_summean))
range(cor(p, use = "pairwise.complete.obs")[upper.tri(cor(p, use = "pairwise.complete.obs"))])
[1] -0.5481930  0.5453191
Code
ggpairs(p, progress = FALSE)

Experienced flow

Code
p <- jldramp %>% select(broodyr, jld_rampdur, jld_rampratemindoy, jld_rampratemin_log) %>%
          left_join(jldflow %>% select(broodyr, jld_winvar, jld_summean)) %>%
          #left_join(natflow %>% filter(flowstn == "SnakeNat") %>% select(broodyr, natq_peakmag, natq_peaktime)) %>%
          left_join(natflow %>% filter(flowstn == "SnakeBeFlat") %>% select(broodyr, natq_winmean, natq_peakmag, natq_peaktime)) %>%
          left_join(airtemp %>% filter(tempstn == "moose") %>% select(broodyr, temp_falmean, temp_winmean, temp_sprmean, temp_summean)) %>% select(-broodyr)
range(cor(p, use = "complete.obs")[upper.tri(cor(p, use = "complete.obs"))])
[1] -0.5976980  0.6003041
Code
ggpairs(p, progress = FALSE)

3.2.2 Test specific variables

3.2.2.1 Winter flow

JLD and natural winter flow highly correlated, especially after 1989

Code
ddd <- jldflow %>% select(broodyr, jld_winmean) %>% left_join(natflow %>% filter(flowstn == "SnakeNat") %>% select(broodyr, natq_winmean))
cor.test(ddd$jld_winmean, ddd$natq_winmean)

    Pearson's product-moment correlation

data:  ddd$jld_winmean and ddd$natq_winmean
t = 5.6337, df = 46, p-value = 1.022e-06
alternative hypothesis: true correlation is not equal to 0
95 percent confidence interval:
 0.4335332 0.7812567
sample estimates:
      cor 
0.6389597 
Code
ddd1 <- ddd %>% filter(broodyr >= 1989)
cor.test(ddd1$jld_winmean, ddd1$natq_winmean)

    Pearson's product-moment correlation

data:  ddd1$jld_winmean and ddd1$natq_winmean
t = 7.227, df = 32, p-value = 3.29e-08
alternative hypothesis: true correlation is not equal to 0
95 percent confidence interval:
 0.6123541 0.8889125
sample estimates:
      cor 
0.7874557 
Code
ddd1 <- ddd %>% filter(broodyr < 1989)
cor.test(ddd1$jld_winmean, ddd1$natq_winmean)

    Pearson's product-moment correlation

data:  ddd1$jld_winmean and ddd1$natq_winmean
t = 1.563, df = 12, p-value = 0.144
alternative hypothesis: true correlation is not equal to 0
95 percent confidence interval:
 -0.1526044  0.7731439
sample estimates:
      cor 
0.4112756 

3.2.2.2 Peak timing

While the timing of peak natural vs. managed flows are not correlated during the full or either partial time period, this may be driven by years of missing data for JLD peak flows…where there was not a JLD peak. Time series plots are suspicious

Code
# peak timing...ok...
ddd <- jldflow %>% select(broodyr, jld_peaktime) %>% left_join(natflow %>% filter(flowstn == "SnakeNat") %>% select(broodyr, natq_peaktime))
cor.test(ddd$jld_peaktime, ddd$natq_peaktime)

    Pearson's product-moment correlation

data:  ddd$jld_peaktime and ddd$natq_peaktime
t = -0.43671, df = 36, p-value = 0.6649
alternative hypothesis: true correlation is not equal to 0
95 percent confidence interval:
 -0.3833791  0.2529610
sample estimates:
        cor 
-0.07259273 
Code
plot(ddd$jld_peaktime, ddd$natq_peaktime, ylab = "brood year DOY", xlab = "year")

Code
plot(jld_peaktime ~ broodyr, ddd, type = "b", col = "blue")
lines(natq_peaktime ~ broodyr, ddd, type = "b", col = "red")
legend("bottomright", legend = c("JLD", "natural"), lty = 1, col = c("blue", "red"))

Code
ddd1 <- ddd %>% filter(broodyr >= 1989)
cor.test(ddd1$jld_peaktime, ddd1$natq_peaktime)

    Pearson's product-moment correlation

data:  ddd1$jld_peaktime and ddd1$natq_peaktime
t = -0.62341, df = 23, p-value = 0.5392
alternative hypothesis: true correlation is not equal to 0
95 percent confidence interval:
 -0.4986378  0.2805140
sample estimates:
       cor 
-0.1289046 
Code
#plot(ddd1$jld_peaktime, ddd1$natq_peaktime)
#abline(a = 0, b = 1)
ddd1 <- ddd %>% filter(broodyr < 1989)
cor.test(ddd1$jld_peaktime, ddd1$natq_peaktime)

    Pearson's product-moment correlation

data:  ddd1$jld_peaktime and ddd1$natq_peaktime
t = 0.013513, df = 11, p-value = 0.9895
alternative hypothesis: true correlation is not equal to 0
95 percent confidence interval:
 -0.5481414  0.5538164
sample estimates:
        cor 
0.004074438 
Code
#plot(ddd1$jld_peaktime, ddd1$natq_peaktime)

3.2.2.3 Peak magnitude

No multicollinearity issues between the magnitude of peak natural vs. managed flows, although these variables are somewhat correlated prior to 1989.

Code
# peak magnitude...ok...
ddd <- jldflow %>% select(broodyr, jld_peakmag) %>% left_join(natflow %>% filter(flowstn == "SnakeNat") %>% select(broodyr, natq_peakmag))
cor.test(ddd$jld_peakmag, ddd$natq_peakmag)

    Pearson's product-moment correlation

data:  ddd$jld_peakmag and ddd$natq_peakmag
t = 4.9086, df = 46, p-value = 1.194e-05
alternative hypothesis: true correlation is not equal to 0
95 percent confidence interval:
 0.3625576 0.7461337
sample estimates:
     cor 
0.586295 
Code
plot(jld_peakmag ~ broodyr, ddd, type = "b", col = "blue", ylim = c(3000,20000))
lines(natq_peakmag ~ broodyr, ddd, type = "b", col = "red")
legend("topleft", legend = c("JLD", "natural"), lty = 1, col = c("blue", "red"))

Code
ddd1 <- ddd %>% filter(broodyr >= 1989)
cor.test(ddd1$jld_peakmag, ddd1$natq_peakmag)

    Pearson's product-moment correlation

data:  ddd1$jld_peakmag and ddd1$natq_peakmag
t = 3.6311, df = 32, p-value = 0.0009749
alternative hypothesis: true correlation is not equal to 0
95 percent confidence interval:
 0.2471686 0.7426824
sample estimates:
      cor 
0.5401836 
Code
ddd1 <- ddd %>% filter(broodyr < 1989)
cor.test(ddd1$jld_peakmag, ddd1$natq_peakmag)

    Pearson's product-moment correlation

data:  ddd1$jld_peakmag and ddd1$natq_peakmag
t = 3.2601, df = 12, p-value = 0.006828
alternative hypothesis: true correlation is not equal to 0
95 percent confidence interval:
 0.2431875 0.8916793
sample estimates:
      cor 
0.6853377 

3.2.2.4 JLD peak mag and JLD win min

JLD peak flow magnitude and combined winter mean flow are correlated (>0.6)…perhaps an artifact of “good water years”

Code
ddd <- jldflow %>% select(broodyr, jld_peakmag, jld_winmin)
cor.test(ddd$jld_peakmag, ddd$jld_winmin)

    Pearson's product-moment correlation

data:  ddd$jld_peakmag and ddd$jld_winmin
t = 2.2111, df = 61, p-value = 0.03079
alternative hypothesis: true correlation is not equal to 0
95 percent confidence interval:
 0.02640982 0.48727185
sample estimates:
      cor 
0.2723925 
Code
plot(jld_peakmag ~ broodyr, ddd, type = "b", col = "blue")
par(new = TRUE)
plot(jld_winmin ~ broodyr, ddd, type = "b", col = "red")
legend("topleft", legend = c("JLD peak mag", "Combined winter mean"), lty = 1, col = c("blue", "red"))

Code
ddd1 <- ddd %>% filter(broodyr >= 1989)
cor.test(ddd1$jld_peakmag, ddd1$jld_winmin)

    Pearson's product-moment correlation

data:  ddd1$jld_peakmag and ddd1$jld_winmin
t = 2.4703, df = 32, p-value = 0.01902
alternative hypothesis: true correlation is not equal to 0
95 percent confidence interval:
 0.07173556 0.65034644
sample estimates:
      cor 
0.4001932 
Code
ddd1 <- ddd %>% filter(broodyr < 1989)
cor.test(ddd1$jld_peakmag, ddd1$jld_winmin)

    Pearson's product-moment correlation

data:  ddd1$jld_peakmag and ddd1$jld_winmin
t = 1.9257, df = 27, p-value = 0.06473
alternative hypothesis: true correlation is not equal to 0
95 percent confidence interval:
 -0.02176591  0.63335086
sample estimates:
     cor 
0.347512 

3.2.3 Lag correlations

Check correlations between variables in year t and t+1 (to separate age-0 and age-1 effects).

Winter variation is the only variable that is moderately correlated between time t and t+1 (0.65)

Code
cor.test(jldramp$jld_rampdur, lead(jldramp$jld_rampdur))

    Pearson's product-moment correlation

data:  jldramp$jld_rampdur and lead(jldramp$jld_rampdur)
t = 0.96669, df = 60, p-value = 0.3376
alternative hypothesis: true correlation is not equal to 0
95 percent confidence interval:
 -0.1299488  0.3623978
sample estimates:
      cor 
0.1238389 
Code
cor.test(jldramp$jld_rampratemindoy, lead(jldramp$jld_rampratemindoy))

    Pearson's product-moment correlation

data:  jldramp$jld_rampratemindoy and lead(jldramp$jld_rampratemindoy)
t = 4.2439, df = 60, p-value = 7.735e-05
alternative hypothesis: true correlation is not equal to 0
95 percent confidence interval:
 0.2621889 0.6520108
sample estimates:
      cor 
0.4804914 
Code
cor.test(jldramp$jld_rampratemin_log, lead(jldramp$jld_rampratemin_log))

    Pearson's product-moment correlation

data:  jldramp$jld_rampratemin_log and lead(jldramp$jld_rampratemin_log)
t = 0.70935, df = 60, p-value = 0.4809
alternative hypothesis: true correlation is not equal to 0
95 percent confidence interval:
 -0.1622692  0.3333699
sample estimates:
       cor 
0.09119508 
Code
cor.test(jldflow$jld_winmin, lead(jldflow$jld_winmin))                  # pearsons r = 0.65

    Pearson's product-moment correlation

data:  jldflow$jld_winmin and lead(jldflow$jld_winmin)
t = 4.3865, df = 60, p-value = 4.729e-05
alternative hypothesis: true correlation is not equal to 0
95 percent confidence interval:
 0.2771030 0.6611604
sample estimates:
      cor 
0.4927661 
Code
cor.test(jldflow$jld_summean, lead(jldflow$jld_summean))

    Pearson's product-moment correlation

data:  jldflow$jld_summean and lead(jldflow$jld_summean)
t = 0.27338, df = 60, p-value = 0.7855
alternative hypothesis: true correlation is not equal to 0
95 percent confidence interval:
 -0.2164039  0.2825498
sample estimates:
       cor 
0.03527073 
Code
cor.test(jldflow$jld_peakmag, lead(jldflow$jld_peakmag))                  # pearsons r = 0.65

    Pearson's product-moment correlation

data:  jldflow$jld_peakmag and lead(jldflow$jld_peakmag)
t = 2.5116, df = 60, p-value = 0.01473
alternative hypothesis: true correlation is not equal to 0
95 percent confidence interval:
 0.06357118 0.51828219
sample estimates:
      cor 
0.3084419 
Code
cor.test(jldflow$jld_peaktime, lead(jldflow$jld_peaktime))

    Pearson's product-moment correlation

data:  jldflow$jld_peaktime and lead(jldflow$jld_peaktime)
t = 1.0467, df = 44, p-value = 0.3009
alternative hypothesis: true correlation is not equal to 0
95 percent confidence interval:
 -0.1407981  0.4268542
sample estimates:
      cor 
0.1558709 
Code
d <- natflow %>% filter(flowstn == "SnakeNat")
cor.test(d$natq_peakmag, lead(d$natq_peakmag))

    Pearson's product-moment correlation

data:  d$natq_peakmag and lead(d$natq_peakmag)
t = 0.17576, df = 45, p-value = 0.8613
alternative hypothesis: true correlation is not equal to 0
95 percent confidence interval:
 -0.2629533  0.3110188
sample estimates:
       cor 
0.02619124 
Code
cor.test(d$natq_peaktime, lead(d$natq_peaktime))

    Pearson's product-moment correlation

data:  d$natq_peaktime and lead(d$natq_peaktime)
t = 0.85953, df = 45, p-value = 0.3946
alternative hypothesis: true correlation is not equal to 0
95 percent confidence interval:
 -0.1661387  0.3996718
sample estimates:
      cor 
0.1270916 
Code
d <- airtemp %>% filter(tempstn == "moose")
cor.test(d$temp_falmean, lead(d$temp_falmean))

    Pearson's product-moment correlation

data:  d$temp_falmean and lead(d$temp_falmean)
t = 2.5647, df = 56, p-value = 0.01303
alternative hypothesis: true correlation is not equal to 0
95 percent confidence interval:
 0.07193934 0.53749544
sample estimates:
      cor 
0.3242108 
Code
cor.test(d$temp_winmean, lead(d$temp_winmean))

    Pearson's product-moment correlation

data:  d$temp_winmean and lead(d$temp_winmean)
t = 0.82595, df = 58, p-value = 0.4122
alternative hypothesis: true correlation is not equal to 0
95 percent confidence interval:
 -0.1502169  0.3521051
sample estimates:
      cor 
0.1078205 
Code
cor.test(d$temp_sprmean, lead(d$temp_sprmean))

    Pearson's product-moment correlation

data:  d$temp_sprmean and lead(d$temp_sprmean)
t = 0.96896, df = 52, p-value = 0.337
alternative hypothesis: true correlation is not equal to 0
95 percent confidence interval:
 -0.1395630  0.3871302
sample estimates:
      cor 
0.1331742 
Code
cor.test(d$temp_summean, lead(d$temp_summean))

    Pearson's product-moment correlation

data:  d$temp_summean and lead(d$temp_summean)
t = 1.3246, df = 53, p-value = 0.191
alternative hypothesis: true correlation is not equal to 0
95 percent confidence interval:
 -0.09059664  0.42415727
sample estimates:
      cor 
0.1790029 
Code
# correlations among natural, managed, and combined winter flow
ddd <- jldflow %>% select(broodyr, jld_annmin) %>%
  left_join(natflow %>% filter(flowstn == "SnakeNat") %>% select(broodyr, natq_annmin)) %>% 
  left_join(natflow %>% filter(flowstn == "SnakeBeFlat") %>% select(broodyr, natq_annmin) %>% rename(expq_annmin = natq_annmin)) 
ggpairs(ddd)
ggpairs(ddd %>% filter(broodyr >= 1989))

ddd <- jldflow %>% select(broodyr, jld_peakmag) %>%
  left_join(natflow %>% filter(flowstn == "SnakeNat") %>% select(broodyr, natq_peakmag)) %>% 
  left_join(natflow %>% filter(flowstn == "SnakeBeFlat") %>% select(broodyr, natq_peakmag) %>% rename(expq_peakmag = natq_peakmag)) 
ggpairs(ddd)
ggpairs(ddd %>% filter(broodyr >= 1989))

ddd <- jldflow %>% select(broodyr, jld_peaktime) %>%
  left_join(natflow %>% filter(flowstn == "SnakeNat") %>% select(broodyr, natq_peaktime)) %>% 
  left_join(natflow %>% filter(flowstn == "SnakeBeFlat") %>% select(broodyr, natq_peaktime) %>% rename(expq_peaktime = natq_peaktime)) 
ggpairs(ddd)
ggpairs(ddd %>% filter(broodyr >= 1989))


# winter flow time series plots
ddd <- jldflow %>% select(broodyr, jld_annmin) %>% 
  left_join(natflow %>% filter(flowstn == "SnakeNat") %>% select(broodyr, natq_annmin)) %>% 
  mutate(tot_annmin = jld_annmin + natq_annmin,
         prop_annmin = jld_annmin/tot_annmin) %>% filter(!is.na(tot_annmin))
ddd$cor <- NA
ddd$cor[5:44] <- rollapply(ddd, width = 9, function(x) abs(cor(x[,2], x[,3])), by.column = FALSE)

par(mfrow = c(3,1), mar = c(3,4,0.5,0.5), mgp = c(2.5,1,0))
plot(tot_annmin ~ broodyr, ddd, type = "n", ylim = c(0,2500), xlab = "", ylab = "Winter flow (cfs)", bty = "l")
polygon(x = c(ddd$broodyr, rev(ddd$broodyr)), y = c(rep(0, times = dim(ddd)[1]), rev(ddd$tot_annmin)), border = NA, col = "grey")
polygon(x = c(ddd$broodyr, rev(ddd$broodyr)), y = c(rep(0, times = dim(ddd)[1]), rev(ddd$natq_annmin)), border = NA, col = "white")
polygon(x = c(ddd$broodyr, rev(ddd$broodyr)), y = c(rep(0, times = dim(ddd)[1]), rev(ddd$jld_annmin)), border = NA, col = "white")
polygon(x = c(ddd$broodyr, rev(ddd$broodyr)), y = c(rep(0, times = dim(ddd)[1]), rev(ddd$natq_annmin)), border = NA, col = scales::alpha("darkorchid2", 1))
polygon(x = c(ddd$broodyr, rev(ddd$broodyr)), y = c(rep(0, times = dim(ddd)[1]), rev(ddd$jld_annmin)), border = NA, col = scales::alpha("goldenrod1", 1))
legend("topright", legend = c("Total", "Natural", "Managed"), fill = c("grey", "darkorchid2", "goldenrod1"), bty = "n")
plot(prop_annmin ~ broodyr, ddd, type = "l", bty = "l", xlab = "", ylab = "JLD contribution to winter flow")
points(prop_annmin ~ broodyr, ddd, pch = 16)
plot(cor ~ broodyr, ddd, type = "l", bty = "l", xlab = "", ylab = "Correlation (rolling 9-year window)", ylim = c(0,1))
points(cor ~ broodyr, ddd, pch = 16)
abline(h = 0.6, lty = 2, col = "red")

3.3 Select Covariates and Standardize

Pull out relevant variables, trim to temporal extent of redd count data (by brood year. I.e., redd counts start at 1971 but environmental data starts at 1967), and standardize (mean centered and scaled).

Code
# Managed flow variables
covsrc_jldq <- jldramp %>% select(broodyr, jld_rampdur, jld_rampratemindoy, jld_rampratemin_log) %>%
  filter(broodyr >= minby) %>%
  left_join(jldflow %>% select(broodyr, jld_winmean, jld_winmin, jld_winvar, jld_summean, jld_peakmag, jld_peaktime)) %>%
  #mutate(jld_winmin_log = ifelse(jld_winmin_log < 4, NA, jld_winmin_log)) %>%
  mutate(z_jld_rampdur = scale(jld_rampdur, center = TRUE, scale = TRUE)[,1], 
         z_jld_rampratemindoy = scale(jld_rampratemindoy, center = TRUE, scale = TRUE)[,1], 
         z_jld_rampratemin_log = scale(jld_rampratemin_log, center = TRUE, scale = TRUE)[,1],
         z_jld_winmean = scale(jld_winmean, center = TRUE, scale = TRUE)[,1],
         z_jld_winmin = scale(jld_winmin, center = TRUE, scale = TRUE)[,1],
         z_jld_winvar = scale(jld_winvar, center = TRUE, scale = TRUE)[,1],
         z_jld_summean = scale(jld_summean, center = TRUE, scale = TRUE)[,1],
         z_jld_peakmag = scale(jld_peakmag, center = TRUE, scale = TRUE)[,1],
         z_jld_peaktime = scale(jld_peaktime, center = TRUE, scale = TRUE)[,1])
#ggpairs(covsrc_jldq %>% select(broodyr, jld_rampdur, jld_rampratemindoy, jld_rampratemin_log, jld_winmean, jld_winmin, jld_winvar, jld_summean, jld_peakmag, jld_peaktime))

# Managed flow variables - ramp-down only
covsrc_jldq_rd <- jldramp %>% select(broodyr, jld_rampdur, jld_rampratemindoy, jld_rampratemin_log) %>%
  filter(broodyr >= minby) %>%
  #mutate(jld_rampratemin = ifelse(jld_rampratemin < -2000, NA, jld_rampratemin)) %>%
  mutate(z_jld_rampdur = scale(jld_rampdur, center = TRUE, scale = TRUE)[,1], 
         z_jld_rampratemindoy = scale(jld_rampratemindoy, center = TRUE, scale = TRUE)[,1], 
         z_jld_rampratemin_log = scale(jld_rampratemin_log, center = TRUE, scale = TRUE)[,1])
#ggpairs(covsrc_jldq_rd %>% select(broodyr, jld_rampdur, jld_rampratemindoy, jld_rampratemin_log))

# Natural/wild flow variables 
covsrc_natq <- natflow %>% filter(flowstn %in% c("SnakeNat")) %>% # make sure flow station is correct!
  select(flowstn, broodyr, natq_falmean_log, natq_winmean_log, natq_sprmean_log, natq_summean_log, natq_winvar, natq_peakmag, natq_peaktime) %>% #rename(flowstn = site) %>% 
  filter(broodyr >= minby) %>%
  mutate(z_natq_winvar = scale(natq_winvar, center = TRUE, scale = TRUE)[,1]) %>%
  mutate(z_natq_falmean_log = scale(natq_falmean_log, center = TRUE, scale = TRUE)[,1], 
         z_natq_winmean_log = scale(natq_winmean_log, center = TRUE, scale = TRUE)[,1], 
         z_natq_sprmean_log = scale(natq_sprmean_log, center = TRUE, scale = TRUE)[,1], 
         z_natq_summean_log = scale(natq_summean_log, center = TRUE, scale = TRUE)[,1], 
         z_natq_peakmag = scale(natq_peakmag, center = TRUE, scale = TRUE)[,1], 
         z_natq_peaktime = scale(natq_peaktime, center = TRUE, scale = TRUE)[,1]) %>% ungroup()
#ggpairs(covsrc_natq %>% select(broodyr, natq_falmean_log, natq_winmean_log, natq_sprmean_log, natq_summean_log, natq_winvar, natq_peakmag, natq_peaktime))

# Experienced flow variables
covsrc_expq <- natflow %>% filter(flowstn %in% c("SnakeBeFlat")) %>%
  select(flowstn, broodyr, natq_winmean, natq_winvar, natq_summean, natq_peakmag, natq_peaktime) %>%
  filter(broodyr >= minby) %>%
  mutate(z_natq_winmean = scale(natq_winmean, center = TRUE, scale = TRUE)[,1], 
         z_natq_winvar = scale(natq_winvar, center = TRUE, scale = TRUE)[,1], 
         z_natq_summean = scale(natq_summean, center = TRUE, scale = TRUE)[,1], 
         z_natq_peakmag = scale(natq_peakmag, center = TRUE, scale = TRUE)[,1], 
         z_natq_peaktime = scale(natq_peaktime, center = TRUE, scale = TRUE)[,1])
#ggpairs(covsrc_expq %>% select(broodyr, natq_winmean, natq_winvar, natq_summean, natq_peakmag, natq_peaktime))

# Temperature variables
covsrc_temp <- airtemp %>% filter(tempstn %in% c("moose")) %>%
  select(tempstn, broodyr, temp_falmean, temp_winmean, temp_sprmean, temp_summean) %>% #rename(tempstn = site) %>% #group_by(tempstn) %>%
  filter(broodyr >= minby) %>%
  mutate(z_temp_falmean = scale(temp_falmean, center = TRUE, scale = TRUE)[,1], 
         z_temp_winmean = scale(temp_winmean, center = TRUE, scale = TRUE)[,1], 
         z_temp_sprmean = scale(temp_sprmean, center = TRUE, scale = TRUE)[,1], 
         z_temp_summean = scale(temp_summean, center = TRUE, scale = TRUE)[,1]) %>% ungroup()
#ggpairs(covsrc_temp %>% select(broodyr, temp_falmean, temp_winmean, temp_sprmean, temp_summean))

Create and write out summary tables (means and standard deviations)

Code
# JLD Flow
covsrc_jldq_summary <- tibble(cov = c("z_jld_rampdur", "z_jld_rampratemindoy", "z_jld_rampratemin_log", "z_jld_winmean", "z_jld_winmin", "z_jld_winvar", "z_jld_summean", "z_jld_peakmag", "z_jld_peaktime"),
                              mean = c(attr(scale(covsrc_jldq$jld_rampdur, center = TRUE, scale = TRUE), "scaled:center"),
                                       attr(scale(covsrc_jldq$jld_rampratemindoy, center = TRUE, scale = TRUE), "scaled:center"),
                                       attr(scale(covsrc_jldq$jld_rampratemin_log, center = TRUE, scale = TRUE), "scaled:center"),
                                       attr(scale(covsrc_jldq$jld_winmean, center = TRUE, scale = TRUE), "scaled:center"),
                                       attr(scale(covsrc_jldq$jld_winmin, center = TRUE, scale = TRUE), "scaled:center"),
                                       attr(scale(covsrc_jldq$jld_winvar, center = TRUE, scale = TRUE), "scaled:center"),
                                       attr(scale(covsrc_jldq$jld_summean, center = TRUE, scale = TRUE), "scaled:center"),
                                       attr(scale(covsrc_jldq$jld_peakmag, center = TRUE, scale = TRUE), "scaled:center"),
                                       attr(scale(covsrc_jldq$jld_peaktime, center = TRUE, scale = TRUE), "scaled:center")),
                              sd = c(attr(scale(covsrc_jldq$jld_rampdur, center = TRUE, scale = TRUE), "scaled:scale"),
                                     attr(scale(covsrc_jldq$jld_rampratemindoy, center = TRUE, scale = TRUE), "scaled:scale"),
                                     attr(scale(covsrc_jldq$jld_rampratemin_log, center = TRUE, scale = TRUE), "scaled:scale"),
                                     attr(scale(covsrc_jldq$jld_winmean, center = TRUE, scale = TRUE), "scaled:scale"),
                                     attr(scale(covsrc_jldq$jld_winmin, center = TRUE, scale = TRUE), "scaled:scale"),
                                     attr(scale(covsrc_jldq$jld_winvar, center = TRUE, scale = TRUE), "scaled:scale"),
                                     attr(scale(covsrc_jldq$jld_summean, center = TRUE, scale = TRUE), "scaled:scale"),
                                     attr(scale(covsrc_jldq$jld_peakmag, center = TRUE, scale = TRUE), "scaled:scale"),
                                     attr(scale(covsrc_jldq$jld_peaktime, center = TRUE, scale = TRUE), "scaled:scale")),
                              min_raw = c(min(covsrc_jldq$jld_rampdur, na.rm = TRUE),
                                          min(covsrc_jldq$jld_rampratemindoy, na.rm = TRUE),
                                          min(covsrc_jldq$jld_rampratemin_log, na.rm = TRUE),
                                          min(covsrc_jldq$jld_winmean, na.rm = TRUE),
                                          min(covsrc_jldq$jld_winmin, na.rm = TRUE),
                                          min(covsrc_jldq$jld_winvar, na.rm = TRUE),
                                          min(covsrc_jldq$jld_summean, na.rm = TRUE),
                                          min(covsrc_jldq$jld_peakmag, na.rm = TRUE),
                                          min(covsrc_jldq$jld_peaktime, na.rm = TRUE)),
                              max_raw = c(max(covsrc_jldq$jld_rampdur, na.rm = TRUE),
                                          max(covsrc_jldq$jld_rampratemindoy, na.rm = TRUE),
                                          max(covsrc_jldq$jld_rampratemin_log, na.rm = TRUE),
                                          max(covsrc_jldq$jld_winmean, na.rm = TRUE),
                                          max(covsrc_jldq$jld_winmin, na.rm = TRUE),
                                          max(covsrc_jldq$jld_winvar, na.rm = TRUE),
                                          max(covsrc_jldq$jld_summean, na.rm = TRUE),
                                          max(covsrc_jldq$jld_peakmag, na.rm = TRUE),
                                          max(covsrc_jldq$jld_peaktime, na.rm = TRUE)),
                              min_zscore = c(min(covsrc_jldq$z_jld_rampdur, na.rm = TRUE),
                                             min(covsrc_jldq$z_jld_rampratemindoy, na.rm = TRUE),
                                             min(covsrc_jldq$z_jld_rampratemin_log, na.rm = TRUE),
                                             min(covsrc_jldq$z_jld_winmean, na.rm = TRUE),
                                             min(covsrc_jldq$z_jld_winmin, na.rm = TRUE),
                                             min(covsrc_jldq$z_jld_winvar, na.rm = TRUE),
                                             min(covsrc_jldq$z_jld_summean, na.rm = TRUE),
                                             min(covsrc_jldq$z_jld_peakmag, na.rm = TRUE),
                                             min(covsrc_jldq$z_jld_peaktime, na.rm = TRUE)),
                              max_zscore = c(max(covsrc_jldq$z_jld_rampdur, na.rm = TRUE),
                                             max(covsrc_jldq$z_jld_rampratemindoy, na.rm = TRUE),
                                             max(covsrc_jldq$z_jld_rampratemin_log, na.rm = TRUE),
                                             max(covsrc_jldq$z_jld_winmean, na.rm = TRUE),
                                             max(covsrc_jldq$z_jld_winmin, na.rm = TRUE),
                                             max(covsrc_jldq$z_jld_winvar, na.rm = TRUE),
                                             max(covsrc_jldq$z_jld_summean, na.rm = TRUE),
                                             max(covsrc_jldq$z_jld_peakmag, na.rm = TRUE),
                                             max(covsrc_jldq$z_jld_peaktime, na.rm = TRUE)))
write_csv(covsrc_jldq_summary, "Data/Derived/ManagedFlow_SummaryMeanSD_1967-2022.csv")

# Natural Flow
covsrc_natq_summary <- tibble(cov = c("z_natq_falmean_log", "z_natq_winmean_log", "z_natq_sprmean_log", "z_natq_summean_log", "z_natq_winvar", "z_natq_peakmag", "z_natq_peaktime"),
                              mean = c(attr(scale(covsrc_natq$natq_falmean_log, center = TRUE, scale = TRUE), "scaled:center"),
                                       attr(scale(covsrc_natq$natq_winmean_log, center = TRUE, scale = TRUE), "scaled:center"),
                                       attr(scale(covsrc_natq$natq_sprmean_log, center = TRUE, scale = TRUE), "scaled:center"),
                                       attr(scale(covsrc_natq$natq_summean_log, center = TRUE, scale = TRUE), "scaled:center"),
                                       attr(scale(covsrc_natq$natq_winvar, center = TRUE, scale = TRUE), "scaled:center"),
                                       attr(scale(covsrc_natq$natq_peakmag, center = TRUE, scale = TRUE), "scaled:center"),
                                       attr(scale(covsrc_natq$natq_peaktime, center = TRUE, scale = TRUE), "scaled:center")),
                              sd = c(attr(scale(covsrc_natq$natq_falmean_log, center = TRUE, scale = TRUE), "scaled:scale"),
                                     attr(scale(covsrc_natq$natq_winmean_log, center = TRUE, scale = TRUE), "scaled:scale"),
                                     attr(scale(covsrc_natq$natq_sprmean_log, center = TRUE, scale = TRUE), "scaled:scale"),
                                     attr(scale(covsrc_natq$natq_summean_log, center = TRUE, scale = TRUE), "scaled:scale"),
                                     attr(scale(covsrc_natq$natq_winvar, center = TRUE, scale = TRUE), "scaled:scale"),
                                     attr(scale(covsrc_natq$natq_peakmag, center = TRUE, scale = TRUE), "scaled:scale"),
                                     attr(scale(covsrc_natq$natq_peaktime, center = TRUE, scale = TRUE), "scaled:scale")),
                              min_raw = c(min(covsrc_natq$natq_falmean_log, na.rm = TRUE),
                                          min(covsrc_natq$natq_winmean_log, na.rm = TRUE),
                                          min(covsrc_natq$natq_sprmean_log, na.rm = TRUE),
                                          min(covsrc_natq$natq_summean_log, na.rm = TRUE),
                                          min(covsrc_natq$natq_winvar, na.rm = TRUE),
                                          min(covsrc_natq$natq_peakmag, na.rm = TRUE),
                                          min(covsrc_natq$natq_peaktime, na.rm = TRUE)),
                              max_raw = c(max(covsrc_natq$natq_falmean_log, na.rm = TRUE),
                                          max(covsrc_natq$natq_winmean_log, na.rm = TRUE),
                                          max(covsrc_natq$natq_sprmean_log, na.rm = TRUE),
                                          max(covsrc_natq$natq_summean_log, na.rm = TRUE),
                                          max(covsrc_natq$natq_winvar, na.rm = TRUE),
                                          max(covsrc_natq$natq_peakmag, na.rm = TRUE),
                                          max(covsrc_natq$natq_peaktime, na.rm = TRUE)),
                              min_zscore = c(min(covsrc_natq$z_natq_falmean_log, na.rm = TRUE),
                                             min(covsrc_natq$z_natq_winmean_log, na.rm = TRUE),
                                             min(covsrc_natq$z_natq_sprmean_log, na.rm = TRUE),
                                             min(covsrc_natq$z_natq_summean_log, na.rm = TRUE),
                                             min(covsrc_natq$z_natq_winvar, na.rm = TRUE),
                                             min(covsrc_natq$z_natq_peakmag, na.rm = TRUE),
                                             min(covsrc_natq$z_natq_peaktime, na.rm = TRUE)),
                              max_zscore = c(max(covsrc_natq$z_natq_falmean_log, na.rm = TRUE),
                                             max(covsrc_natq$z_natq_winmean_log, na.rm = TRUE),
                                             max(covsrc_natq$z_natq_sprmean_log, na.rm = TRUE),
                                             max(covsrc_natq$z_natq_summean_log, na.rm = TRUE),
                                             max(covsrc_natq$z_natq_winvar, na.rm = TRUE),
                                             max(covsrc_natq$z_natq_peakmag, na.rm = TRUE),
                                             max(covsrc_natq$z_natq_peaktime, na.rm = TRUE)))
write_csv(covsrc_natq_summary, "Data/Derived/NaturalFlow_SummaryMeanSD_1975-2022.csv")

# Experienced Flow
covsrc_expq_summary <- tibble(cov = c("z_expq_winmean", "z_expq_winvar", "z_expq_summean", "z_expq_peakmag", "z_expq_peaktime"),
                              mean = c(attr(scale(covsrc_expq$natq_winmean, center = TRUE, scale = TRUE), "scaled:center"),
                                       attr(scale(covsrc_expq$natq_winvar, center = TRUE, scale = TRUE), "scaled:center"),
                                       attr(scale(covsrc_expq$natq_summean, center = TRUE, scale = TRUE), "scaled:center"),
                                       attr(scale(covsrc_expq$natq_peakmag, center = TRUE, scale = TRUE), "scaled:center"),
                                       attr(scale(covsrc_expq$natq_peaktime, center = TRUE, scale = TRUE), "scaled:center")),
                              sd = c(attr(scale(covsrc_expq$natq_winmean, center = TRUE, scale = TRUE), "scaled:scale"),
                                     attr(scale(covsrc_expq$natq_winvar, center = TRUE, scale = TRUE), "scaled:scale"),
                                     attr(scale(covsrc_expq$natq_summean, center = TRUE, scale = TRUE), "scaled:scale"),
                                     attr(scale(covsrc_expq$natq_peakmag, center = TRUE, scale = TRUE), "scaled:scale"),
                                     attr(scale(covsrc_expq$natq_peaktime, center = TRUE, scale = TRUE), "scaled:scale")),
                              min_raw = c(min(covsrc_expq$natq_winmean, na.rm = TRUE),
                                          min(covsrc_expq$natq_winvar, na.rm = TRUE),
                                          min(covsrc_expq$natq_summean, na.rm = TRUE),
                                          min(covsrc_expq$natq_peakmag, na.rm = TRUE),
                                          min(covsrc_expq$natq_peaktime, na.rm = TRUE)),
                              max_raw = c(max(covsrc_expq$natq_winmean, na.rm = TRUE),
                                          max(covsrc_expq$natq_winvar, na.rm = TRUE),
                                          max(covsrc_expq$natq_summean, na.rm = TRUE),
                                          max(covsrc_expq$natq_peakmag, na.rm = TRUE),
                                          max(covsrc_expq$natq_peaktime, na.rm = TRUE)),
                              min_zscore = c(min(covsrc_expq$z_natq_winmean, na.rm = TRUE),
                                             min(covsrc_expq$z_natq_winvar, na.rm = TRUE),
                                             min(covsrc_expq$z_natq_summean, na.rm = TRUE),
                                             min(covsrc_expq$z_natq_peakmag, na.rm = TRUE),
                                             min(covsrc_expq$z_natq_peaktime, na.rm = TRUE)),
                              max_zscore = c(max(covsrc_expq$z_natq_winmean, na.rm = TRUE),
                                             max(covsrc_expq$z_natq_winvar, na.rm = TRUE),
                                             max(covsrc_expq$z_natq_summean, na.rm = TRUE),
                                             max(covsrc_expq$z_natq_peakmag, na.rm = TRUE),
                                             max(covsrc_expq$z_natq_peaktime, na.rm = TRUE)))
write_csv(covsrc_expq_summary, "Data/Derived/ExperiencedFlow_SummaryMeanSD_1975-2022.csv")

# Temperature
covsrc_temp_summary <- tibble(cov = c("z_temp_falmean", "z_temp_winmean", "z_temp_sprmean", "z_temp_summean"),
                              mean = c(attr(scale(covsrc_temp$temp_falmean, center = TRUE, scale = TRUE), "scaled:center"),
                                       attr(scale(covsrc_temp$temp_winmean, center = TRUE, scale = TRUE), "scaled:center"),
                                       attr(scale(covsrc_temp$temp_sprmean, center = TRUE, scale = TRUE), "scaled:center"),
                                       attr(scale(covsrc_temp$temp_summean, center = TRUE, scale = TRUE), "scaled:center")),
                              sd = c(attr(scale(covsrc_temp$temp_falmean, center = TRUE, scale = TRUE), "scaled:scale"),
                                     attr(scale(covsrc_temp$temp_winmean, center = TRUE, scale = TRUE), "scaled:scale"),
                                     attr(scale(covsrc_temp$temp_sprmean, center = TRUE, scale = TRUE), "scaled:scale"),
                                     attr(scale(covsrc_temp$temp_summean, center = TRUE, scale = TRUE), "scaled:scale")),
                              min_raw = c(min(covsrc_temp$temp_falmean, na.rm = TRUE),
                                          min(covsrc_temp$temp_winmean, na.rm = TRUE),
                                          min(covsrc_temp$temp_sprmean, na.rm = TRUE),
                                          min(covsrc_temp$temp_summean, na.rm = TRUE)),
                              max_raw = c(max(covsrc_temp$temp_falmean, na.rm = TRUE),
                                          max(covsrc_temp$temp_winmean, na.rm = TRUE),
                                          max(covsrc_temp$temp_sprmean, na.rm = TRUE),
                                          max(covsrc_temp$temp_summean, na.rm = TRUE)),
                              min_zscore = c(min(covsrc_temp$z_temp_falmean, na.rm = TRUE),
                                             min(covsrc_temp$z_temp_winmean, na.rm = TRUE),
                                             min(covsrc_temp$z_temp_sprmean, na.rm = TRUE),
                                             min(covsrc_temp$z_temp_summean, na.rm = TRUE)),
                              max_zscore = c(max(covsrc_temp$z_temp_falmean, na.rm = TRUE),
                                             max(covsrc_temp$z_temp_winmean, na.rm = TRUE),
                                             max(covsrc_temp$z_temp_sprmean, na.rm = TRUE),
                                             max(covsrc_temp$z_temp_summean, na.rm = TRUE)))
write_csv(covsrc_temp_summary, "Data/Derived/Temperature_SummaryMeanSD_1967-2022.csv")

3.4 Join Covariate and Fish Data

3.4.1 Separate natural and managed flow components

Age-0 (4-year lag)

Code
redds3a <- redds2
redds3a$broodyr <- redds3a$year - 4 # create broodyr variable for joining
redds3a$tempstn <- ifelse(redds3a$stream %in% c("Christiansen", "Dave", "Laker"), "afton", "moose") # basin ID to match to NWS temp station
redds3a$flowstn <- ifelse(redds3a$stream %in% c("Christiansen", "Dave", "Laker"), "Salt", "SnakeNat") # basin ID to match to USGS flow station 
redds3a <- redds3a %>% 
  left_join(covsrc_jldq, by = "broodyr") %>% 
  left_join(covsrc_natq, by = c("broodyr", "flowstn")) %>% 
  left_join(covsrc_temp, by = c("broodyr", "tempstn"))

Age-1 (3-year lag)

Code
redds3b <- redds2
redds3b$broodyr <- redds3b$year - 3 # create broodyr variable for joining
redds3b$tempstn <- ifelse(redds3b$stream %in% c("Christiansen", "Dave", "Laker"), "afton", "moose") # basin ID to match to NWS temp station
redds3b$flowstn <- ifelse(redds3b$stream %in% c("Christiansen", "Dave", "Laker"), "Salt", "SnakeNat") # basin ID to match to USGS flow station 
redds3b <- redds3b %>% 
  left_join(covsrc_jldq, by = "broodyr") %>% 
  left_join(covsrc_natq, by = c("broodyr", "flowstn")) %>% 
  left_join(covsrc_temp, by = c("broodyr", "tempstn"))

3.4.2 Experienced flow

Age-0 (4-year lag)

Code
redds3c <- redds2
redds3c$broodyr <- redds3c$year - 4 # create broodyr variable for joining
redds3c$tempstn <- ifelse(redds3c$stream %in% c("Christiansen", "Dave", "Laker"), "afton", "moose") # basin ID to match to NWS temp station
redds3c$flowstn <- ifelse(redds3c$stream %in% c("Christiansen", "Dave", "Laker"), "Salt", "SnakeBeFlat") # basin ID to match to USGS flow station 
redds3c <- redds3c %>% 
  left_join(covsrc_jldq_rd, by = "broodyr") %>% 
  left_join(covsrc_expq, by = c("broodyr", "flowstn")) %>% 
  left_join(covsrc_temp, by = c("broodyr", "tempstn"))

Age-1 (3-year lag)

Code
redds3d <- redds2
redds3d$broodyr <- redds3d$year - 3 # create broodyr variable for joining
redds3d$tempstn <- ifelse(redds3d$stream %in% c("Christiansen", "Dave", "Laker"), "afton", "moose") # basin ID to match to NWS temp station
redds3d$flowstn <- ifelse(redds3d$stream %in% c("Christiansen", "Dave", "Laker"), "Salt", "SnakeBeFlat") # basin ID to match to USGS flow station 
redds3d <- redds3d %>% 
  left_join(covsrc_jldq_rd, by = "broodyr") %>% 
  left_join(covsrc_expq, by = c("broodyr", "flowstn")) %>% 
  left_join(covsrc_temp, by = c("broodyr", "tempstn"))

3.4.3 Write out data files

Code
write_csv(redds3a, "Data/Derived/ReddCounts_WGFD_1971-2021_cleaned_withFlowTempCovariates_SeparateFlowComponents_age0.csv")
write_csv(redds3b, "Data/Derived/ReddCounts_WGFD_1971-2021_cleaned_withFlowTempCovariates_SeparateFlowComponents_age1.csv")
write_csv(redds3c, "Data/Derived/ReddCounts_WGFD_1971-2021_cleaned_withFlowTempCovariates_ExperiencedFlow_age0.csv")
write_csv(redds3d, "Data/Derived/ReddCounts_WGFD_1971-2021_cleaned_withFlowTempCovariates_ExperiencedFlow_age1.csv")
Code
plot(natq_winmean ~ broodyr, covsrc_expq, type = "b")
plot(natq_winvar ~ broodyr, covsrc_expq, type = "b")
plot(natq_peakmag ~ broodyr, covsrc_expq, type = "b")
plot(natq_peaktime ~ broodyr, covsrc_expq, type = "b")