Purpose: Model effects of monthly/annual water availability on Big-little difference using JAGS
19.1 Data
19.1.1 Site info and daily data
Code
# site information and locationssiteinfo <-read_csv("C:/Users/jbaldock/OneDrive - DOI/Documents/USGS/EcoDrought/EcoDrought Working/Data/EcoDrought_SiteInformation.csv")siteinfo_sp <-st_as_sf(siteinfo, coords =c("long", "lat"), crs =4326)mapview(siteinfo_sp, zcol ="designation")
Code
# flow/yield (and temp) data dat <-read_csv("C:/Users/jbaldock/OneDrive - DOI/Documents/USGS/EcoDrought/EcoDrought Working/Data/EcoDrought_FlowTempData_DailyWeekly.csv") %>%filter(!site_name %in%c("WoundedBuckCreek", "Brackett Creek"))# add water/climate year variablesdat <-add_date_variables(dat, dates = date, water_year_start =4)
19.1.2 Separate and join G-g
Code
# pull out big G datadat_big <- dat %>%filter(site_name %in%c("West Brook NWIS", "Paine Run 10", "Piney River 10", "Staunton River 10", "Spread Creek Dam", "BigCreekLower", "Shields River ab Smith NWIS", "Donner Blitzen River nr Frenchglen NWIS")) # pull out little G data, assign big G site namedat_little <- dat %>%filter(designation %in%c("little", "medium"), !subbasin %in%c("Coal Creek", "McGee Creek", "Duck Creek", "Flathead"),!site_name %in%c("West Brook NWIS", "West Brook 0", "Paine Run 10", "Piney River 10", "Staunton River 10", "Spread Creek Dam", "Shields River ab Smith NWIS", "BigCreekLower")) %>%mutate(site_name_big =ifelse(subbasin =="Big Creek", "BigCreekLower",ifelse(subbasin =="West Brook", "West Brook NWIS", ifelse(subbasin =="Paine Run", "Paine Run 10", ifelse(subbasin =="Piney River", "Piney River 10",ifelse(subbasin =="Staunton River", "Staunton River 10",ifelse(subbasin =="Shields River", "Shields River ab Smith NWIS",ifelse(subbasin =="Snake River", "Spread Creek Dam", "Donner Blitzen River nr Frenchglen NWIS"))))))))# Join big-little discharge datadat_Gg <- dat_little %>%select(site_name, site_name_big, basin, subbasin, date, Month, MonthName, WaterYear, Yield_filled_mm_7) %>%rename(yield_little = Yield_filled_mm_7) %>%left_join(dat_big %>%select(site_name, date, Yield_filled_mm_7) %>%rename(site_name_big = site_name, yield_big = Yield_filled_mm_7)) %>%drop_na() %>%mutate(MonthName =as.character(MonthName))# tabledat_Gg %>%group_by(subbasin) %>%summarise(site_name_big =unique(site_name_big)) %>%kable(caption ="Big G gage names for each focal sub-basin.")
Big G gage names for each focal sub-basin.
subbasin
site_name_big
Big Creek
BigCreekLower
Donner Blitzen
Donner Blitzen River nr Frenchglen NWIS
Paine Run
Paine Run 10
Shields River
Shields River ab Smith NWIS
Snake River
Spread Creek Dam
Staunton River
Staunton River 10
West Brook
West Brook NWIS
19.1.3 Calculate total yield
Code
# Get total annual and monthly Big G yield and join to KS diffs# get total annual yield by big G sitetotyield_annual <- dat_big %>%group_by(site_name, WaterYear, basin, subbasin) %>%summarise(days =n(), yield_annual =sum(Yield_filled_mm, na.rm =TRUE)) %>%filter(!is.na(yield_annual), days >=360) %>%ungroup() %>%rename(site_name_big = site_name) %>%select(site_name_big, WaterYear, yield_annual) %>%ungroup()# get total monthly yield by big G sitetotyield_monthly <- dat_big %>%group_by(site_name, WaterYear, basin, subbasin, Month) %>%summarise(days =n(), yield_monthly =sum(Yield_filled_mm, na.rm =TRUE)) %>%filter(!is.na(yield_monthly), days >=28) %>%ungroup() %>%rename(site_name_big = site_name) %>%select(site_name_big, WaterYear, Month, yield_monthly) %>%ungroup()
19.1.4 Final dataset
Join and filter G-g data to relevant basin(s) and years: currently, West Brook CY 2021 only!
Code
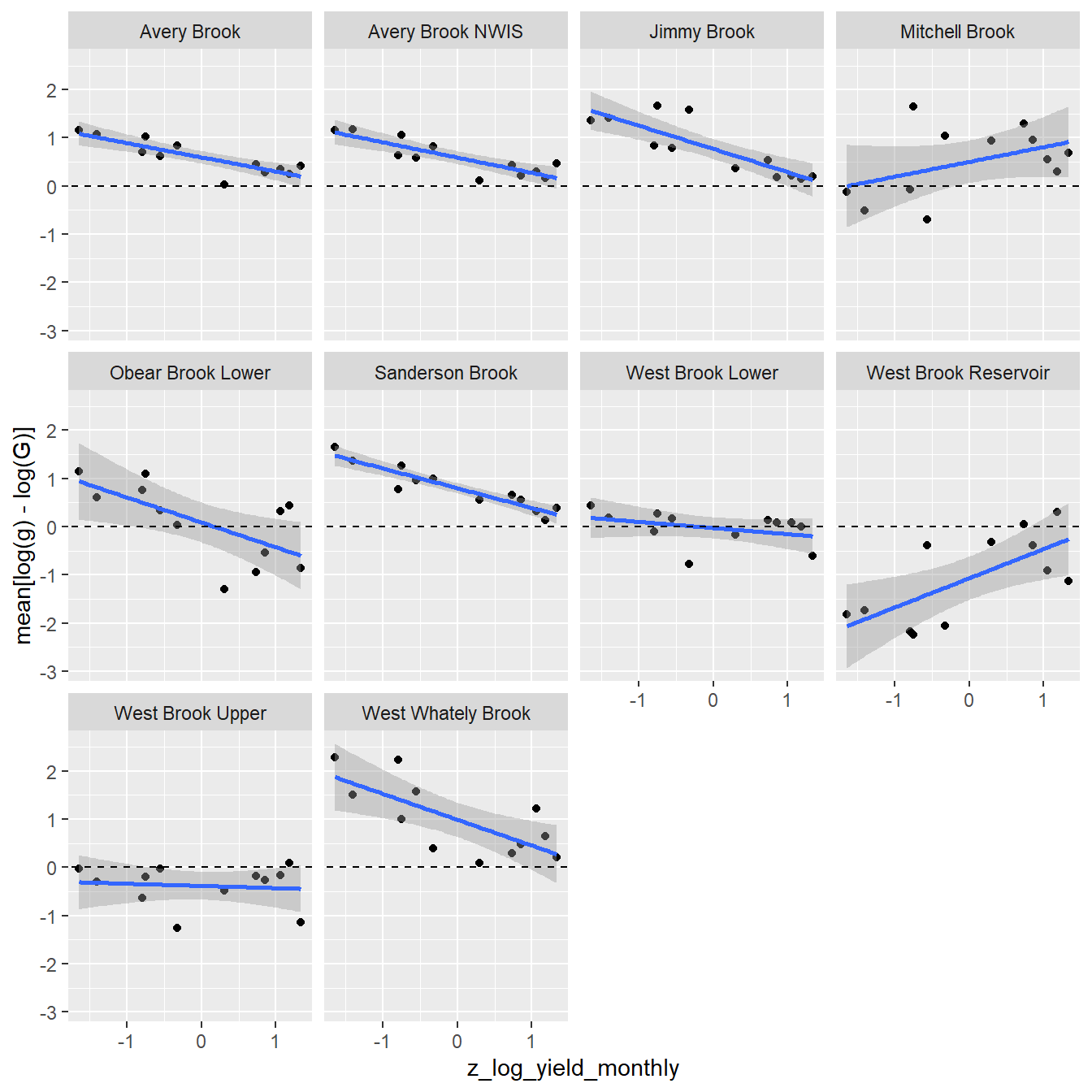
# wide format to enable direct difference calculation (Attempt 1)dat_Gg2 <- dat_Gg %>%left_join(totyield_annual) %>%left_join(totyield_monthly) %>%filter(basin =="West Brook", site_name !="Avery Broook NWIS", WaterYear ==2021) %>%mutate(site_name_cd =as.numeric(as.factor(site_name)),z_log_yield_monthly =as.numeric(scale(log(yield_monthly), center =TRUE, scale =TRUE)),month_radian =as_radians((Month/12)*360))# long format for more standard intercept model (Attempt 2)dat_Gg3 <- dat_Gg2 %>%select(site_name, site_name_cd, Month, month_radian, WaterYear, yield_little, yield_big, z_log_yield_monthly) %>%gather(key ="ind", value ="yield", yield_little, yield_big) %>%mutate(indnum =as.numeric(as.factor(ind))-1)head(dat_Gg3)
G-g difference in (log) monthly mean yield as a function of (log) total monthly yield at G
19.2 Declare the JAGS model
First attempt tries to model the difference as a derived parameter (like the growth model), but this maintains the temporal structure of the data, and we are primarily interested in the difference in the distributions
Code
cat("model {##--- LIKELIHOOD ---------------------------------------------------##for (i in 1:nObs) { Qg[i] ~ dnorm(mu[i], pow(sigma, -2)) mu[i] <- QG[i] - Qd[i] Qd[i] <- alpha[sites[i]] + beta[sites[i]] * yield[i] # Log-likelihood loglik[i] <- logdensity.norm(Qg[i], mu[i], pow(sigma, -2)) }##--- PRIORS --------------------------------------------------------### Process error is shared among sitessigma ~ dunif(0.001, 100)# Site-specific parametersfor (k in 1:nSites) { alpha[k] ~ dnorm(alpha.mu, pow(sigma.alpha, -2)) beta[k] ~ dnorm(beta.mu, pow(sigma.beta, -2)) }# Global parametersalpha.mu ~ dnorm(0, pow(10, -2))beta.mu ~ dnorm(0, pow(10, -2))# Site-level variation in alpha and betasigma.alpha ~ dunif(0.001, 100)sigma.beta ~ dunif(0.001, 100)}", file ="./Big G Little g/JAGS Models/GgMod.txt")
Second attempt is a more standard intercept model.
“alpha” is the mean monthly yield at Big-G, which is shared among sites
“beta1” is a Little-g offset to the intercept, which describes the site-level mean G-g difference
“beta2” describes the effect of water availability (log total monthly yield at Big G) on the site-level mean G-g difference.
Note that this is only “turned on” for little-g (ind[i] = 1)
Should add covariates on sigma to deal with unequal variance among groups
Code
cat("model {##--- LIKELIHOOD ---------------------------------------------------##for (i in 1:nObs) { Q[i] ~ dnorm(mu[i], pow(sigma, -2)) mu[i] <- alpha[months[i]] + beta1[sites[i]] * ind[i] + beta2[sites[i]] * ind[i] * yieldtot[i] # Log-likelihood loglik[i] <- logdensity.norm(Q[i], mu[i], pow(sigma, -2)) }##--- PRIORS --------------------------------------------------------### Process error is shared among sitessigma ~ dunif(0.001, 100)# Site-specific parametersfor (j in 1:nSites) { beta1[j] ~ dnorm(0, pow(10, -2)) beta2[j] ~ dnorm(0, pow(10, -2)) }for(k in 1:nMonths) { alpha[k] ~ dnorm(0, pow(10, -2)) }}", file ="C:/Users/jbaldock/OneDrive - DOI/Documents/USGS/EcoDrought/EcoDrought Working/EcoDrought-Analysis/Big G Little g/JAGS Models/GgMod.txt")
---title: "G-g Difference (JAGS)"format: htmleditor: visual---Purpose: Model effects of monthly/annual water availability on Big-little difference using JAGS```{r echo=FALSE, message=FALSE}library(tidyverse)library(sf)library(mapview)library(fasstr)library(GGally)library(R2jags)library(MCMCvis)library(loo)library(HDInterval)library(scales)library(knitr)library(aspace) # for radian conversionlibrary(RColorBrewer)library(scales)```## Data### Site info and daily data```{r}# site information and locationssiteinfo <-read_csv("C:/Users/jbaldock/OneDrive - DOI/Documents/USGS/EcoDrought/EcoDrought Working/Data/EcoDrought_SiteInformation.csv")siteinfo_sp <-st_as_sf(siteinfo, coords =c("long", "lat"), crs =4326)mapview(siteinfo_sp, zcol ="designation")# flow/yield (and temp) data dat <-read_csv("C:/Users/jbaldock/OneDrive - DOI/Documents/USGS/EcoDrought/EcoDrought Working/Data/EcoDrought_FlowTempData_DailyWeekly.csv") %>%filter(!site_name %in%c("WoundedBuckCreek", "Brackett Creek"))# add water/climate year variablesdat <-add_date_variables(dat, dates = date, water_year_start =4)```### Separate and join G-g```{r}# pull out big G datadat_big <- dat %>%filter(site_name %in%c("West Brook NWIS", "Paine Run 10", "Piney River 10", "Staunton River 10", "Spread Creek Dam", "BigCreekLower", "Shields River ab Smith NWIS", "Donner Blitzen River nr Frenchglen NWIS")) # pull out little G data, assign big G site namedat_little <- dat %>%filter(designation %in%c("little", "medium"), !subbasin %in%c("Coal Creek", "McGee Creek", "Duck Creek", "Flathead"),!site_name %in%c("West Brook NWIS", "West Brook 0", "Paine Run 10", "Piney River 10", "Staunton River 10", "Spread Creek Dam", "Shields River ab Smith NWIS", "BigCreekLower")) %>%mutate(site_name_big =ifelse(subbasin =="Big Creek", "BigCreekLower",ifelse(subbasin =="West Brook", "West Brook NWIS", ifelse(subbasin =="Paine Run", "Paine Run 10", ifelse(subbasin =="Piney River", "Piney River 10",ifelse(subbasin =="Staunton River", "Staunton River 10",ifelse(subbasin =="Shields River", "Shields River ab Smith NWIS",ifelse(subbasin =="Snake River", "Spread Creek Dam", "Donner Blitzen River nr Frenchglen NWIS"))))))))# Join big-little discharge datadat_Gg <- dat_little %>%select(site_name, site_name_big, basin, subbasin, date, Month, MonthName, WaterYear, Yield_filled_mm_7) %>%rename(yield_little = Yield_filled_mm_7) %>%left_join(dat_big %>%select(site_name, date, Yield_filled_mm_7) %>%rename(site_name_big = site_name, yield_big = Yield_filled_mm_7)) %>%drop_na() %>%mutate(MonthName =as.character(MonthName))# tabledat_Gg %>%group_by(subbasin) %>%summarise(site_name_big =unique(site_name_big)) %>%kable(caption ="Big G gage names for each focal sub-basin.")```### Calculate total yield```{r}# Get total annual and monthly Big G yield and join to KS diffs# get total annual yield by big G sitetotyield_annual <- dat_big %>%group_by(site_name, WaterYear, basin, subbasin) %>%summarise(days =n(), yield_annual =sum(Yield_filled_mm, na.rm =TRUE)) %>%filter(!is.na(yield_annual), days >=360) %>%ungroup() %>%rename(site_name_big = site_name) %>%select(site_name_big, WaterYear, yield_annual) %>%ungroup()# get total monthly yield by big G sitetotyield_monthly <- dat_big %>%group_by(site_name, WaterYear, basin, subbasin, Month) %>%summarise(days =n(), yield_monthly =sum(Yield_filled_mm, na.rm =TRUE)) %>%filter(!is.na(yield_monthly), days >=28) %>%ungroup() %>%rename(site_name_big = site_name) %>%select(site_name_big, WaterYear, Month, yield_monthly) %>%ungroup()```### Final dataset Join and filter G-g data to relevant basin(s) and years: currently, West Brook CY 2021 only!```{r}# wide format to enable direct difference calculation (Attempt 1)dat_Gg2 <- dat_Gg %>%left_join(totyield_annual) %>%left_join(totyield_monthly) %>%filter(basin =="West Brook", site_name !="Avery Broook NWIS", WaterYear ==2021) %>%mutate(site_name_cd =as.numeric(as.factor(site_name)),z_log_yield_monthly =as.numeric(scale(log(yield_monthly), center =TRUE, scale =TRUE)),month_radian =as_radians((Month/12)*360))# long format for more standard intercept model (Attempt 2)dat_Gg3 <- dat_Gg2 %>%select(site_name, site_name_cd, Month, month_radian, WaterYear, yield_little, yield_big, z_log_yield_monthly) %>%gather(key ="ind", value ="yield", yield_little, yield_big) %>%mutate(indnum =as.numeric(as.factor(ind))-1)head(dat_Gg3)```Explore G-g data```{r}#| fig-cap: "Standardized (log) total monthly yield at Big G during CY 2021"dat_Gg2 %>%group_by(WaterYear, Month) %>%summarise(z_log_yield_monthly =unique(z_log_yield_monthly)) %>%ggplot(aes(x = Month, y = z_log_yield_monthly)) +geom_point() +geom_smooth()``````{r fig.height=7, fig.width=9}#| fig-cap: "Distribution of (log) yield at G-g over time, by site"dat_Gg3 %>% ggplot() + geom_boxplot(aes(x = as.factor(Month), y = log(yield), fill = ind)) + facet_wrap(~site_name)``````{r}#| fig-cap: "G-g difference in (log) monthly mean yield over time"dat_Gg2 %>%group_by(site_name, Month) %>%summarise(yield_little =mean(log(yield_little), na.rm =TRUE), yield_big =mean(log(yield_big), na.rm =TRUE),z_log_yield_monthly =unique(z_log_yield_monthly)) %>%mutate(Qd = yield_little - yield_big) %>%ggplot(aes(x = Month, y = Qd)) +geom_point() +geom_smooth() +ylab("mean[log(g) - log(G)]") +facet_wrap(~site_name) +geom_abline(intercept =0, slope =0, linetype ="dashed")``````{r fig.height=7, fig.width=7}#| fig-cap: "G-g difference in (log) monthly mean yield as a function of (log) total monthly yield at G"dat_Gg2 %>% group_by(site_name, Month) %>% summarise(yield_little = mean(log(yield_little), na.rm = TRUE), yield_big = mean(log(yield_big), na.rm = TRUE), z_log_yield_monthly = unique(z_log_yield_monthly)) %>% mutate(Qd = yield_little - yield_big) %>% ggplot(aes(x = z_log_yield_monthly, y = Qd)) + geom_point() + geom_smooth(method = "lm") + ylab("mean[log(g) - log(G)]") + facet_wrap(~site_name) + geom_abline(intercept = 0, slope = 0, linetype = "dashed")```## Declare the JAGS modelFirst attempt tries to model the difference as a derived parameter (like the growth model), but this maintains the temporal structure of the data, and we are primarily interested in the difference in the distributions```{r Attempt 1, eval = FALSE}cat("model {##--- LIKELIHOOD ---------------------------------------------------##for (i in 1:nObs) { Qg[i] ~ dnorm(mu[i], pow(sigma, -2)) mu[i] <- QG[i] - Qd[i] Qd[i] <- alpha[sites[i]] + beta[sites[i]] * yield[i] # Log-likelihood loglik[i] <- logdensity.norm(Qg[i], mu[i], pow(sigma, -2)) }##--- PRIORS --------------------------------------------------------### Process error is shared among sitessigma ~ dunif(0.001, 100)# Site-specific parametersfor (k in 1:nSites) { alpha[k] ~ dnorm(alpha.mu, pow(sigma.alpha, -2)) beta[k] ~ dnorm(beta.mu, pow(sigma.beta, -2)) }# Global parametersalpha.mu ~ dnorm(0, pow(10, -2))beta.mu ~ dnorm(0, pow(10, -2))# Site-level variation in alpha and betasigma.alpha ~ dunif(0.001, 100)sigma.beta ~ dunif(0.001, 100)}", file = "./Big G Little g/JAGS Models/GgMod.txt")```Second attempt is a more standard intercept model.* "alpha" is the mean monthly yield at Big-G, which is shared among sites* "beta1" is a Little-g offset to the intercept, which describes the site-level mean G-g difference* "beta2" describes the effect of water availability (log total monthly yield at Big G) on the site-level mean G-g difference. + Note that this is only "turned on" for little-g (ind[i] = 1)* Should add covariates on sigma to deal with unequal variance among groups```{r Attempt 2, class.source = "fold-show"}cat("model {##--- LIKELIHOOD ---------------------------------------------------##for (i in 1:nObs) { Q[i] ~ dnorm(mu[i], pow(sigma, -2)) mu[i] <- alpha[months[i]] + beta1[sites[i]] * ind[i] + beta2[sites[i]] * ind[i] * yieldtot[i] # Log-likelihood loglik[i] <- logdensity.norm(Q[i], mu[i], pow(sigma, -2)) }##--- PRIORS --------------------------------------------------------### Process error is shared among sitessigma ~ dunif(0.001, 100)# Site-specific parametersfor (j in 1:nSites) { beta1[j] ~ dnorm(0, pow(10, -2)) beta2[j] ~ dnorm(0, pow(10, -2)) }for(k in 1:nMonths) { alpha[k] ~ dnorm(0, pow(10, -2)) }}", file = "C:/Users/jbaldock/OneDrive - DOI/Documents/USGS/EcoDrought/EcoDrought Working/EcoDrought-Analysis/Big G Little g/JAGS Models/GgMod.txt")```## Fit the JAGS model```{r}# gather data for JAGS# jags.data <- list("nObs" = dim(dat_Gg2)[1], "nSites" = length(unique(dat_Gg2$site_name_cd)), "sites" = dat_Gg2$site_name_cd, # "Qg" = dat_Gg2$yield_little, "QG" = dat_Gg2$yield_big, "yield" = dat_Gg2$z_yield_monthly)jags.data <-list("nObs"=dim(dat_Gg3)[1], "nSites"=length(unique(dat_Gg3$site_name_cd)), "nMonths"=length(unique(dat_Gg3$Month)), "sites"= dat_Gg3$site_name_cd, "months"= dat_Gg3$Month,"Q"=log(dat_Gg3$yield+0.01), "ind"= dat_Gg3$indnum, "yieldtot"= dat_Gg3$z_log_yield_monthly)# parameters to monitor# jags.params <- c("alpha", "alpha.mu", "sigma.alpha", "beta", "beta.mu", "sigma.beta", "sigma", "loglik")jags.params <-c("alpha", "beta1", "beta2", "sigma", "loglik")# run in jagsmod_0 <-jags.parallel(data = jags.data, inits =NULL, parameters.to.save = jags.params,model.file ="C:/Users/jbaldock/OneDrive - DOI/Documents/USGS/EcoDrought/EcoDrought Working/EcoDrought-Analysis/Big G Little g/JAGS Models/GgMod.txt",n.chains =6, n.thin =20, n.burnin =1000, n.iter =5000, DIC =TRUE)# saveRDS(mod_0, "C:/Users/jbaldock/OneDrive - DOI/Documents/USGS/EcoDrought/EcoDrought Working/EcoDrought-Analysis/Big G Little g/JAGS Models/GgMod.RDS")```Any problematic R-hat values?```{r}mod_0$BUGSoutput$summary[,8][mod_0$BUGSoutput$summary[,8] >1.01]```### View traceplots```{r}MCMCtrace(mod_0, ind =TRUE, params =c("alpha", "beta1", "beta2", "sigma"), pdf =FALSE)```### Get MCMC samples and summary```{r}top_mod <- mod_0# generate MCMC samples and store as an arraymodelout <- top_mod$BUGSoutputMcmcList <-vector("list", length =dim(modelout$sims.array)[2])for(i in1:length(McmcList)) { McmcList[[i]] =as.mcmc(modelout$sims.array[,i,]) }# rbind MCMC samples from 10 chains Mcmcdat <-rbind(McmcList[[1]], McmcList[[2]], McmcList[[3]], McmcList[[4]], McmcList[[5]], McmcList[[6]])param.summary <- modelout$summaryhead(param.summary)```## Plot model output```{r}# control panelnvals <-100nsim <-50nsites <-length(unique(dat_Gg3$site_name_cd))x_seq <-seq(from =min(dat_Gg2$z_log_yield_monthly), to =max(dat_Gg2$z_log_yield_monthly), length.out = nvals)# predict from modelpred_arr <-array(NA, dim =c(nsim, nvals, nsites))for (k in1:nsites) {for (j in1:nsim) { pred_arr[j,,k] <- Mcmcdat[j,paste("beta1[", k, "]", sep ="")] + Mcmcdat[j,paste("beta2[", k, "]", sep ="")] * x_seq }}# pred_dist_lin <- matrix(NA, nrow = nrow(Mcmcdat), ncol = nrgs)# for (i in 1:nrow(pred_dist_lin)) { pred_dist_lin[i,] <- exp(Mcmcdat[i,"alpha"] + Mcmcdat[i,"beta1"]*pdist) }# pred_dist_tran <- matrix(NA, nrow = nrow(Mcmcdat), ncol = nrgs)# for (i in 1:nrow(pred_dist_tran)) { pred_dist_tran[i,] <- pred_dist_lin[i,] / rowSums(pred_dist_lin)[i] }# pred_lower <- apply(pred_dist_tran, MARGIN = 2, quantile, prob = 0.025)# pred_upper <- apply(pred_dist_tran, MARGIN = 2, quantile, prob = 0.975)# pred_median <- apply(pred_dist_tran, MARGIN = 2, quantile, prob = 0.5)``````{r, fig.width=9, fig.height=7}#| fig-cap: "G-g mean difference in (log) yield as a function of (log) total monthly yield at G"par(mar = c(5,5,2,12))mycols <- brewer.pal(9, "Set1")plot(seq(from = range(pred_arr)[1], to = range(pred_arr)[2], length.out = nvals) ~ x_seq, type = "n", xlab = "(log) Monthly total yield at Big G (z-score)", ylab = "Little g deviation from Big G")for (k in 1:nsites) { for (j in 1:nsim) { lines(pred_arr[j,,k] ~ x_seq, col = alpha(mycols[k], 0.3)) }}abline(h = 0, lty = 2)par(xpd = TRUE)legend("right", inset = c(-0.4,0), legend = unlist(dat_Gg3 %>% group_by(site_name) %>% summarise(stcd = unique(site_name_cd)) %>% select(site_name)), fill = mycols, bty = "n")```